E-413.2 - E-413.6 Multi-Channel Piezo Amplifier
用于压电管和PICA Shear促动器
- 低噪声压电放大器
- 峰值功率高达50瓦
- 双极操作
- 输出电压为-250至250伏
- 非常适合于扫描管
- 输出电压监控
压电陶瓷管(“扫描管”)控制
根据版本的不同,E-413放大器可以在两个或三个运动方向上控制压电陶瓷管。压电陶瓷管的可能运动方向取决于其电极段的数目。
最多可控制六个压电陶瓷促动器
该放大器还可用作控制多达六个独立的具有双极工作电压的压电陶瓷促动器的版本,例如PICA Shear或Picoactuator。
电压范围和控制信号
在静态和动态操作中,噪声低、精度低。峰值电流在-250至+250伏时高达每个通道100毫安。输出电压控制通过模拟输入信号-10至+10伏实现,增益值为25。控制信号可采用PC通过数字模拟转换器和用于与NI LabVIEW软件结合使用的PI驱动程序集来生成。
接口
控制信号,监控信号:SMB。电压输出:D-sub 15针(母头)
发货范围
发货包含24伏宽输入范围电源。
规格
规格
放大器 | E-413.30/.20 | E-413.61/.41 |
|---|---|---|
输入电压范围 | -10到10伏 | -10到10伏 |
输出电压 | -250至250伏 反向输出:250至-250伏 | -250至250伏 |
输出电压监控 | -2.5至2.5伏 反向输出:2.5至-2.5伏 | -2.5至2.5伏 |
峰值输出功率/输出(<1毫秒) | 50瓦 | 50瓦 |
平均输出功率/输出 | >10瓦 | >10瓦 |
峰值电流/输出(<1毫秒) | 100毫安 | 100毫安 |
平均输出电流/输出 | >20毫安 | >20毫安 |
电流限制 | 防短路 | 防短路 |
电压增益 | 25 ±0.1 反向输出:-25 ±0.1 | 25 ±0.1 |
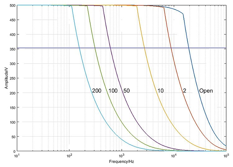
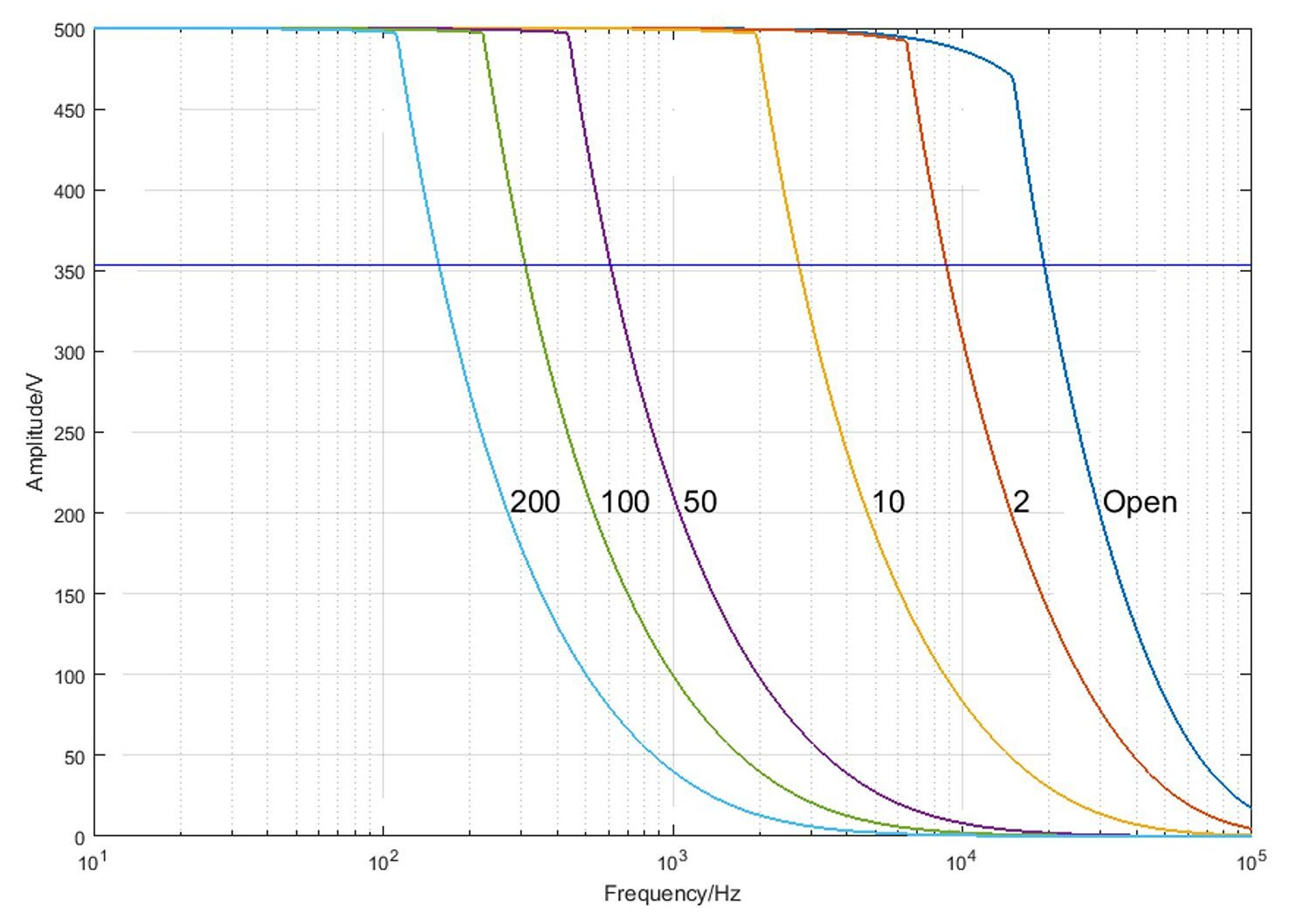
带宽,小信号 | ≥20千赫兹 | ≥20千赫兹 |
纹波,噪声,0至10千赫兹 | <1毫伏均方根 5毫伏峰峰值 小于10千赫兹带宽时,小于200微伏均方根,输出处为100纳法促动器负载 | <1毫伏均方根 5毫伏峰峰值 小于10千赫兹带宽时,小于200微伏均方根,输出处为100纳法促动器负载 |
电容基本负载(内部) | 2纳法 | 2纳法 |
可感应外部促动器容量 | >2纳法 | >2纳法 |
输出阻抗 | 1千欧,2纳法 | 1千欧,2纳法 |
输入阻抗 | 100千欧 | 100千欧 |
报价/订购
就所需数量、价格和供货周期请求免费报价或描述您所需的改型。










